Çevre ve Şehircilik Bakanlığı Proje ve Kontrolluk İşlerinde Uygulanacak Fiyat Artış Oranları Hakkında Tebliğ 11 Şubat 2021 tarihli Resmi Gazete ile yayımlanarak yürürlüğe girdi.
PROJE VE KONTROLLUK İŞLERİNDE UYGULANACAK
FİYAT ARTIŞ ORANLARI HAKKINDA TEBLİĞ
Fiyat artış oranları
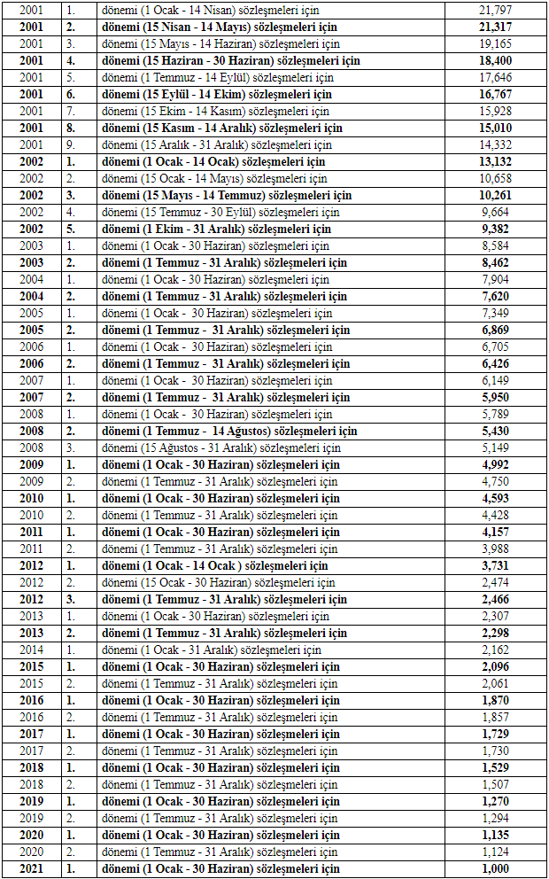
MADDE 1 – (1) 28/7/1988 tarihli ve 88/13181 sayılı Bakanlar Kurulu Kararı ile yürürlüğe konulan Kamu Sektörüne Dahil İdarelerin İhalesi Yapılmış ve Yapılacak İşlerinde İhale Usul ve Şekillerine Göre Fiyat Farkı Hesabında Uygulayacakları Esasların 4 üncü maddesinin (4.5) numaralı bendi gereği, birinci derecenin son kademesindeki bekâr bir Devlet Memuru olarak Bakanlık Yapı İşleri Genel Müdürlüğü Proje Dairesi Başkanının bütün ek ödentileri dahil net maaşının sözleşmeye esas yıl dönemi (sözleşme birim fiyatlarının ait olduğu yıl dönemi) ile uygulama yılı dönemine ait miktarları arasındaki artış oranları 1/1/2021 tarihinden itibaren, proje ve kontrolluk işlerinde uygulanmak üzere;

1980-2000 yılları fiyat artış oranları
MADDE 2 – (1) 1980-2000 yılları arasındaki dönemlerin fiyat artış oranları 7/8/2013 tarihli ve 28731 sayılı Resmî Gazete’de yayımlanan Proje ve Kontrolluk İşlerinde Uygulanacak Fiyat Artış Oranları Hakkında Tebliğdeki o dönem için yer almış olan oranların 1 inci maddenin birinci fıkrasında yer alan tabloda 2013 yılının 2. dönemine karşılık gelen katsayı (2,298) ile çarpılması suretiyle bulunur.
Yürürlükten kaldırılan tebliğ
MADDE 3 – (1) 6/8/2020 tarihli ve 31205 sayılı Resmî Gazete’de yayımlanan Proje ve Kontrolluk İşlerinde Uygulanacak Fiyat Artış Oranları Hakkında Tebliğ yürürlükten kaldırılmıştır.
Yürürlük
MADDE 4 – (1) Bu Tebliğ 1/1/2021 tarihinden geçerli olmak üzere yayımı tarihinde yürürlüğe girer.
Yürütme
MADDE 5 – (1) Bu Tebliğ hükümlerini Çevre ve Şehircilik Bakanı yürütür.


